On March 25th, EqualiTeach released a resource ‘Free to Be‘ which was available for 27 primary schools in London “in the early stages of their work in promoting LGBT+ equality.” This guidance was heavily criticised, in particular for misrepresenting the Equality Act (2010) and attacking the organisations Woman’s Place UK, Fair Play for Women and Transgender Trend.
Lizz Truss MP tweeted on the 1st May that the document “was not approved by government. It does not reflect government policy. The GEO logo should not be on it and I have asked for it to be removed.” Soon after, the UK Government Equalities Office (GEO) distanced themselves from this material and denied involvement.
In a statement, EqualiTeach said that they were “surprised” by this outcome: “EqualiTeach were provided with the GEO logo for use for communications related to the programme. The resource was sent to GEO for approval prior to publication and in conversations on the 26th March EqualiTeach was told that the GEO was happy for the logo to be on the resource.”
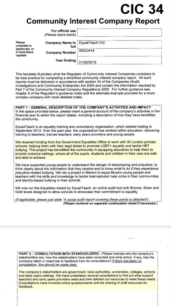
We were also surprised, as this document was a direct result of a project that ran from April 2019 – March 2020 which received government funding. EqualiTeach has been receiving government funding for years, which raises questions as to the lack of GEO oversight on these programmes. On our Twitter account, we posted a thread outlining GEO involvement with EqualiTeach. We are uploading here for archival purposes.
We are pleased that @trussliz & @GEOgovuk have distanced themselves from the inaccurate & irresponsible guidance published by @EqualiTeach. However, this document did not appear out of thin air. Questions need to be answered as to how government funding is being used.

EqualiTeach have been publicising this material as early as February. That a statement was only made yesterday raises serious concerns about lack of oversight on government funded programmes. https://equaliteach.co.uk/new-programme-free-to-be-celebrating-lgbt/

This funding was awarded last year and ran through until March 2020. This document is a direct outcome of that funding. https://t.co/paKuttMQAU?amp=1

Confirmation of GEO funding can be found in their 2019 annual report. https://t.co/gGd9ZANJNq?amp=1

This relationship looks set to continue: “The extended programme will run until March 2020, and the Government Equalities Office and Department for Education are considering jointly how to ensure this work is taken forward.” https://1library.net/document/6qmwm5z8-lgbt-action-plan-annual-progress-report.html

Nature of the funding: “develop local solutions to support the progression of teachers covered by at least one of the protected characteristics as defined in the Equality Act 2010” As outlined by @MForstater, this document misrepresents EA.

Reports from 2016/17 show partnership with Teach First, as does EqualiTeach website. https://beta.companieshouse.gov.uk/company/08523414/filing-history

Teach First received government funding to the tune of: 62% of total £52.7 million in 2017/2018; and 63% of £61million in 2016/17. Huge quantities of money spent on teaching & training materials potentially unreviewed by GEO. https://beta.companieshouse.gov.uk/company/04478840/filing-history/MzIyODYxNDczMGFkaXF6a2N4/document?format=pdf&download=0

In 2016, EqualiTeach partnered with Teach First to promote “Fundamental British Values”. We see the use of “inclusive” in the context of religious discrimination and the phrase “prejudice-based bullying“. https://beta.companieshouse.gov.uk/company/08523414/filing-history/MzE2ODE0NTAyNGFkaXF6a2N4/document?format=pdf&download=0

This partnership continues into 2017, where we now see the introduction of “identity-based bullying” and programmes on the topic of “equality and relationships and sex education”. With this shift, “inclusive settings” starts to take on a new meaning. https://beta.companieshouse.gov.uk/company/08523414/filing-history/MzE5ODkzNjgwNWFkaXF6a2N4/document?format=pdf&download=0

“Fundamental British Values” first appeared in relation to counter-terrorism and extremism measures in 2011 Prevent Strategy, then with regard to education in 2013 Teachers’ Standards, defined as the following: https://gov.uk/government/publications/teachers-standards

Government guidance published in 2014 changed need for “respect” of these values to the requirement that “all schools must now have a clear strategy for embedding these values and show how their work with pupils has been effective in doing so.” https://gov.uk/government/news/guidance-on-promoting-british-values-in-schools-published

EqualiTeach’s website states that there is no clarity as to what these values actually look like despite being enforceable by Ofsted. Presumably, this uncertainty is the gap in the market that EqualiTeach are exploiting. https://equaliteach.co.uk/what-are-fundamental-british-values-anyway/
These groups are modelling their approach off of existing government aims and moving policy in a particular idealogical direction. Targeting schools ensures this material reaches an impressionable demographic and takes advantage of the lack of clarity within Ofsted requirements.
“Free to Be” is a direct result of long term funding from @GEOgovuk to @EqualiTeach, so it is therefore difficult to believe GEO claim of “no input”. This government-funded misrepresentation of UK law demonstrates back door policy making by unmonitored vested interest groups.
Originally posted on Twitter on 02/05/2020